ww ziraat internet

logotipos de empresas famosas no mundo

logotipos de empresas famosas no mundo

ziraat internet bankaciligi acma www ziraatbank com tr

ziraat internet bankaciligi acma www ziraatbank com tr

monoecious pistacia chinensis bunge

monoecious pistacia chinensis bunge

tropik meyve turleri

tropik meyve turleri

a jhiinq htm

a jhiinq htm

texas a m university academia edu

texas a m university academia edu

researchpool

researchpool

ww bora home facebook

ww bora home facebook

pdf the diffusion of the internet in

pdf the diffusion of the internet in

pdf the diffusion of the internet in

pdf the diffusion of the internet in

ghazanfar bank

ghazanfar bank

https www facebook com ziraatkatilim

https www facebook com ziraatkatilim

ziraat bankasi

ziraat bankasi

internet subesi ziraat katilim

internet subesi ziraat katilim

ziraat bankasi

ziraat bankasi

resume book 2020 by ozyegin

resume book 2020 by ozyegin

ziraat bankasi internet bankaciligi

ziraat bankasi internet bankaciligi

izagt0et2dw 9m

izagt0et2dw 9m

barkoturk

barkoturk

logos illustrations and branding

logos illustrations and branding

ziraat bankasi kredi erteleme talep

ziraat bankasi kredi erteleme talep

ziraat bankasi 2021 yili personel alimi

ziraat bankasi 2021 yili personel alimi

ziraat bankasi kredi erteleme talebi

ziraat bankasi kredi erteleme talebi

logos illustrations and branding

logos illustrations and branding

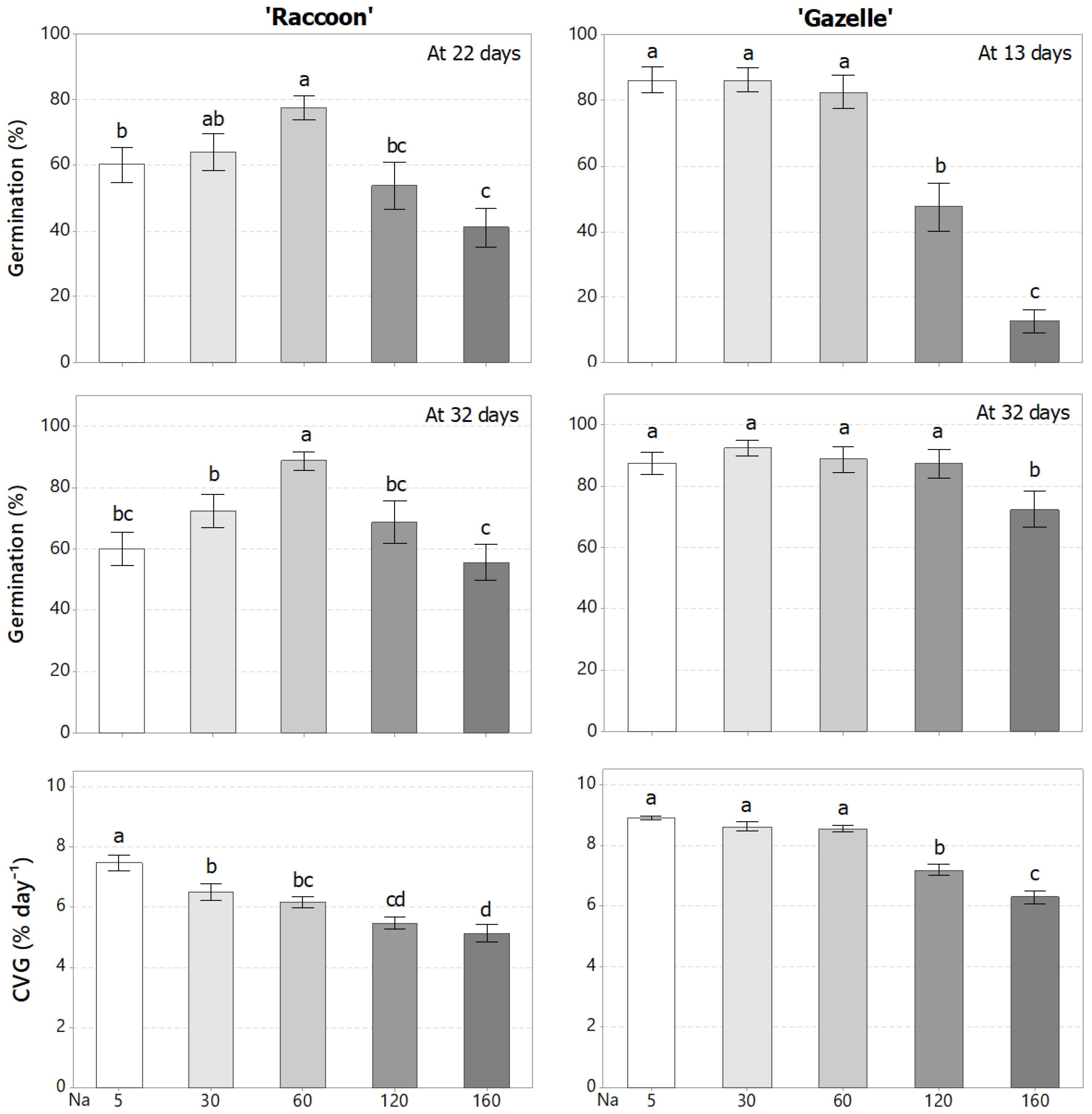
germination and growth of spinach under

germination and growth of spinach under

internet subesi ziraat katilim

internet subesi ziraat katilim

eurovolleytv european volleyball live

eurovolleytv european volleyball live

ipad pro 10 5 and b5 size notebook

ipad pro 10 5 and b5 size notebook

sec gov

sec gov

ziraat bankasi internet subesi sifre

ziraat bankasi internet subesi sifre

You May Like